

ÖZEL HABER / BAYATBADEMLERİ'NDE 'İMAR PLANI'NA TEPKİ
Bayatbademleri’nde İmar Planına Tepki: Köy Halkı Dilekçelerle Harekete Geçti
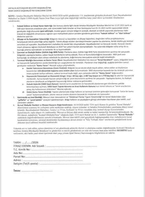
Antalya’nın Korkuteli ilçesine bağlı Bayatbademleri Mahallesi’nde yeniden gündeme getirilen 1/5000 ölçekli nazım imar planı, mahalle sakinlerinin tepkisini çekti. Bayatbademleri Mahalle Muhtarı Mustafa Aldemir’in yaptığı duyurunun ardından köy halkı, söz konusu imar uygulamasına karşı çıkarak yoğun şekilde tepki gösterdi ve dilekçelerle başvuru yapmaya başladı.
Daha önce 2021 yılında mahalle sakinlerinin girişimleriyle iptal edilen planın, aradan geçen 5 yılın ardından yeniden gündeme alınması bölgede rahatsızlık yarattı. Planın, 9 Mart 2026 tarihinde Antalya Büyükşehir Belediyesi Meclisi’nde görüşülerek imar komisyonuna sevk edilmesiyle birlikte süreç hız kazanırken, mahalle muhtarlığı da harekete geçti.
Muhtarlık tarafından yapılan bilgilendirme sonrası köy halkı, Antalya Büyükşehir Belediyesi ve Korkuteli Belediyesi’ne sunulmak üzere hazırlanan itiraz dilekçelerine yoğun ilgi gösterdi. Muhtarlıkta imzaya açılan dilekçeler kısa sürede çok sayıda vatandaş tarafından desteklendi.
Mahalle sakinleri, mevcut durumda dahi su ve altyapı hizmetlerinde sıkıntı yaşandığını belirterek, yeni yapılaşmaların bu sorunları daha da artıracağından endişe duyduklarını ifade etti. Köylüler, planın hayata geçirilmesi halinde doğal yaşamın zarar göreceğini, tarım alanlarının ve köy dokusunun bozulacağını dile getirdi.
Bayatbademleri halkı, köylerini, topraklarını ve doğal yaşamı korumak adına süreci yakından takip edeceklerini, köylerinde imar planı uygulaması istemediklerini vurgularken, yetkililere de planın yeniden değerlendirilmesi ve iptal edilmesi çağrısında bulundu.



Tel : 0532 474 99 63 | Haber Yazılımı: CM Bilişim








































